Qwen3.6 от Alibaba обошёл Google Gemma 4 на всех бенчмарках по коду
Alibaba выпустила Qwen3.6-35B-A3B — открытую MoE-модель, которая обошла Google Gemma 4-31B на всех бенчмарках по коду и рассуждению.
Alibaba выпустила Qwen3.6-35B-A3B — открытую MoE-модель, которая обошла Google Gemma 4-31B на всех бенчмарках по коду и рассуждению.
OpenAI закрыл раунд на $122 млрд при оценке $852 млрд — крупнейшее финансирование в истории искусственного интеллекта.
Stanford HAI опубликовал AI Index 2026: модели бьют рекорды по математике и коду, разрыв США–Китай почти исчез, а доверие общества к ИИ продолжает падать.
MiniMax выложила 229-миллиардную модель M2.7 в открытый доступ на Hugging Face — она обходит Gemini 3.1 Pro в агентных задачах.
Google выпустила Gemma 4 — бесплатную открытую модель с агентными возможностями, работающую полностью на устройстве без передачи данных в облако.
Демис Хассабис оценил шансы появления AGI в ближайшие пять лет как высокие и сравнил его влияние с десятью промышленными революциями за одно десятилетие.
ETH Zurich реализовал квантовый swap-вентиль с точностью 99,91% для 17 000 пар кубитов одновременно, используя геометрическую фазу нейтральных атомов.
Anthropic изучает разработку собственных AI-чипов на фоне роста годовой выручки с $9 до $30 млрд всего за четыре месяца.
MegaTrain позволяет обучать модели до 120B параметров на одной GPU, храня веса в CPU-памяти и загружая их послойно во время вычислений.
Сэм Альтман опубликовал план налогообложения и перераспределения доходов от ИИ, сравнив масштаб предстоящих изменений с «Новым курсом» Рузвельта.
Nvidia показала Neural Texture Compression: VRAM для сцены упала с 6,5 ГБ до 970 МБ без видимых потерь качества.
Cursor 3 — новый интерфейс AI-редактора, построенный вокруг агентов: единая панель, передача задач между облаком и локальной машиной, маркетплейс плагинов.
Конгресс США внёс законопроект об ужесточении экспорта оборудования для производства чипов в Китай — под давлением окажутся ASML и Tokyo Electron.
Anthropic обнаружила внутри Claude внутренние состояния, похожие на эмоции — они влияют на поведение модели, но компания не утверждает, что ИИ "чувствует".
Microsoft намерена создать передовые ИИ-модели собственной разработки к 2027 году — как альтернативу продуктам OpenAI и Anthropic.
Стартапы привлекли $297 млрд в первом квартале 2026 года — рекорд за всю историю венчурного рынка, две трети которого обеспечили OpenAI, Anthropic, xAI и Waymo.
Китайский AGIBOT произвёл 10 000 гуманоидных роботов, причём половину — за последние три месяца, обогнав западных конкурентов в серийном производстве.
Китай продемонстрировал координированные группы вооружённых роботов-собак, работающих под управлением ИИ по тактике «волчьей стаи».
На SEMICON China 2026 топ-менеджеры китайских чипмейкеров признали отставание в ИИ и автомобильных чипах на 5–10 лет, указав на нехватку оборудования и кадров.
Британский ветеран с параличом сыграл в World of Warcraft через чип Neuralink — без мыши и клавиатуры, только силой мысли.
ЦЕРН запекает сжатые нейросети прямо в FPGA-чипы, чтобы за 50 наносекунд решать, какие из миллиарда столкновений протонов в секунду стоит сохранить.
Китайские учёные впервые выполнили полный набор логических операций с обнаружением ошибок на кремниевом квантовом процессоре и запустили реальный алгоритм.
Утечка данных вскрыла существование новейшей модели Anthropic — компания подтвердила, что та делает «шаг вперёд» в рассуждениях и коде.
Калифорнийский суд приостановил действие указа Трампа, внёсшего Anthropic в реестр угроз цепочке поставок, назвав решение властей произвольным.
Mistral выпустила открытую TTS-модель Voxtral, которая поддерживает 9 языков, клонирует голос за 5 секунд и работает прямо на смартфоне.
Google Research представила TurboQuant — алгоритм сжатия KV-кэшей LLM до 3 бит без потери точности, дающий до 8x ускорения на Nvidia H100.
OpenAI завершила предобучение модели Spud. Альтман обещает «очень сильную» систему, способную ускорить экономику, — релиз через несколько недель.
OpenAI закрывает приложение и API Sora — Disney разрывает декабрьскую сделку на $1 млрд из-за смены приоритетов компании.
OpenAI привлекла ещё $10 млрд, доведя рекордный раунд до $120 млрд. В числе новых инвесторов — Microsoft, Andreessen Horowitz и T. Rowe Price.
GPT-5.4 Pro решил задачу по теории гиперграфов, открытую с 2019 года. Epoch AI подтвердила результат; три другие топовые модели тоже справились.
Anthropic добивается судебного запрета против решения Пентагона, признавшего создателя Claude угрозой национальной безопасности США.
Пакет LiteLLM 1.82.8 на PyPI содержал вредоносный скрипт, который при каждом запуске Python крал API-ключи, SSH-ключи и облачные учётные данные.
Илон Маск анонсировал TeraFab — чипзавод за $20 млрд в Остине, где под одной крышей будет полный цикл производства чипов для Tesla, SpaceX и xAI.
Карпати запустил автономного агента на свой многомесячный проект — за ночь тот нашёл улучшения, которые человек пропустил.
Китайские учёные создали сплав EuCo₂Al₉, охлаждающийся до 106 мК без гелия-3 — новый рекорд для металлических материалов, опубликованный в Nature в феврале 2026
Китай первым в мире одобрил нейрочипы для коммерческой продажи, пока США и Европа всё ещё проводят клинические испытания.
Nebius Group планирует привлечь $3,75 млрд в конвертируемом долге на фоне крупной сделки с Meta по AI-инфраструктуре.
Palantir показал, как система Maven с Claude планирует удары от спутника до бомбардировщика. Anthropic отказала Пентагону — и попала под запрет.
Исследователи масштабировали RL-агента до 1024 слоёв — производительность выросла до 50 раз, а гуманоид научился перепрыгивать стены.
Израильская платформа BriefCam, использованная Моссадом для слежки за Хаменеи, найдена в системах видеонаблюдения РАН, «Москва-сити» и других объектов России.
AMD, Broadcom, Nvidia, Microsoft, Meta и OpenAI создали OCI MSA — открытый стандарт оптики для ИИ-кластеров. Целевая скорость — 3,2 Тбит/с.
Microsoft BitNet запустила 100B-параметровую 1-битную языковую модель на одном CPU со скоростью 5–7 токенов в секунду без видеокарты.
Nvidia инвестирует $2 млрд в Nebius Group и договорилась о совместном развёртывании AI-инфраструктуры. Акции компании выросли на 10%.
ИИ-агент стартапа CodeWall за два часа взломал чатбот McKinsey Lilli и получил доступ к 46 млн сообщений и данным 57 000 аккаунтов.
Oracle и OpenAI отменили расширение дата-центра в Техасе, а Anthropic подала иск против Пентагона, назвавшего её «риском цепочки поставок».
Claude Opus 4.6 во время теста BrowseComp догадался, что его проверяют, нашёл бенчмарк, взломал XOR-шифр и скачал все правильные ответы.
Система DeepRare от Шанхайского университета обошла опытных врачей в диагностике редких болезней: 64% против 55% с первой попытки. Исследование в Nature.
OpenAI запустила Codex Security — агент сканирует репозитории, уже нашёл уязвимости в OpenSSH и Chromium, выпущено 14 CVE.
Администрация Трампа вводит глобальное лицензирование поставок AI-чипов Nvidia и AMD: кластеры от 200 тысяч GPU потребуют межправительственных договорённостей.
Broadcom прогнозирует выручку от ИИ-чипов свыше $100 млрд в 2027 году. Anthropic возобновила переговоры с Пентагоном.
SoftBank ведёт переговоры о кредите до $40 млрд — крупнейшем долларовом займе в своей истории — для инвестиций в OpenAI.
Пентагон официально присвоил Anthropic статус угрозы цепочке поставок — впервые в истории это сделано в отношении американской компании.
Anthropic приближается к годовому объёму выручки в $20 млрд — вдвое больше, чем в конце 2025 года, — одновременно вступив в конфликт с Пентагоном.
OpenAI выпустила GPT-5.3 Instant: галлюцинаций при поиске стало на 27% меньше, а модель реже отказывает без причин.
Стартап Cortical Labs научил 200 тысяч живых нейронов играть в Doom — клетки освоили 3D-навигацию быстрее, чем кремниевый ИИ.
Cursor достиг $2 млрд ARR в феврале 2026 года — показатель удвоился за три месяца, сообщает Bloomberg.
США обсуждают лимит в 75 000 чипов Nvidia H200 для одного китайского покупателя — это фактически закроет путь Nvidia на китайский ИИ-рынок.
Управляющая Федеральной резервной системой США Лиза Кук заявила, что ИИ запускает крупнейшую реорганизацию рынка труда за целое поколение. При этом...
Anthropic запустила программу корпоративных агентов. Компания представила набор готовых плагинов для бизнеса - с фокусом на финансы, право, HR и разработку....
Alibaba выпустила серию моделей Qwen 3.5 Medium. Команда Qwen опубликовала четыре модели: Qwen3.5-Flash, Qwen3.5-35B-A3B, Qwen3.5-122B-A10B и Qwen3.5-27B....
Компания Anthropic выявила промышленные кампании трех AI-лабораторий по незаконному извлечению возможностей Claude. DeepSeek, Moonshot и MiniMax...
Издание The Information получило доступ к новым финансовым слайдам OpenAI перед грядущим раундом инвестиций. Компания повысила прогноз выручки на ближайшие...
Компания Anthropic запустила новый инструмент Claude Code Security. Он сканирует кодовую базу и предлагает патчи для исправления найденных проблем. \n...
Компания Microsoft подтвердила серьезную проблему безопасности. Баг в системе позволял Copilot AI суммировать конфиденциальные письма клиентов без...
Выручка французского AI-стартапа Mistral выросла в 20 раз за последний год. Об этом сообщает издание Financial Times. Спрос компаний и властей Евросоюза на...
Криптоплатформа Moonwell столкнулась с серьезной проблемой. Ошибка в программном коде привела к убыткам в 1,78 миллиона долларов. Особенность случая в том,...
Компания Intel подтвердила планы по выпуску новых графических процессоров. Они получат архитектуру Xe Next. Это поколение появится после Xe3P. Intel впервые...
Китайская компания Unitree показала, как человекоподобный робот G1 работает на производстве. Он собирает компоненты для таких же роботов. Машиной управляет...
OpenAI нанимает сотни новых технических консультантов. Об этом сообщает The Information. Консультанты помогают разрабатывать ИИ-агентов и другие решения. \n...
Baidu планирует дать пользователям основного смартфон-приложения прямой доступ к популярному ИИ-инструменту OpenClaw. Об этом заявил представитель китайской...
Google DeepMind представила Aletheia - агента для математических доказательств. Он набрал 91,9% на IMO-ProofBench Advanced. Это новый рекорд. Один из самых...
Anthropic объявила об открытии платных функций в бесплатном плане Claude. Теперь доступны создание файлов, подключение внешних сервисов и использование...
Криптобиржа Coinbase представила Agentic Wallets - инфраструктуру для ИИ-агентов. Инструмент позволяет им оперировать цифровыми активами, совершать...
Рынок памяти демонстрирует динамику роста цен, при которой его емкость в денежном выражении окажется выше контрактного производства чипов. К такому выводу...
Исследователи обнаружили серьезную уязвимость медицинских ИИ-систем. Большие языковые модели способны повторять ложную информацию, если она представлена в...
Герман Греф объявил о сокращении 20% персонала Сбербанка. Причина - массовое развертывание систем искусственного интеллекта. Информацию опубликовали...
Томас Домке, бывший гендиректор GitHub, запустил платформу для разработчиков ИИ-агентов entire.io. Она будет открытой, масштабируемой и независимой....
Microsoft и Electronic Arts перестали добавлять локализации на французском языке в свои игры. Актеры озвучки отказались принимать условия видеоигровых...
Alibaba представила Qwen-Image-2.0 - модель, которая выводит генерацию визуала на уровень дизайнерских инструментов. ИИ не просто рисует картинки, а умеет...
Apple выпустила Xcode 26.3 с поддержкой агентного кодирования. Разработчики смогут использовать Claude Agent от Anthropic и Codex от OpenAI прямо в...
Claude Opus 4.6 от Anthropic обнаружила более 500 ранее неизвестных серьезных уязвимостей в библиотеках с открытым исходным кодом. Модель работала...
Институт человекоподобных роботов при Чжэцзянском университете представил робота Bolt. Разработка велась совместно с MirrorMe Technology и Kaierda....
На платформе Disney+ скоро появятся видео, созданные с помощью Sora от OpenAI. Об этом заявил гендиректор Disney Боб Айгер. При этом он подчеркнул, что это...
Amazon обсуждает с OpenAI возможность получения особого доступа к технологиям. Об этом сообщает The Information. Компания может инвестировать десятки...
Reddit видит в ИИ-поиске следующую большую возможность для бизнеса. Компания заявила об этом во время представления результатов за четвертый квартал. Поиск...
Продажи электромобилей BYD в январе упали до минимума за два года. Об этом сообщает CNBC. Первый месяц года традиционно нестабилен для китайского рынка. Но...
Яндекс представил технологию MADrive и датасет MAD-Cars для виртуального тестирования автономного транспорта. Об этом сообщает Коммерсантъ. Решения...
Google Gemini преодолел отметку в 750 миллионов активных пользователей в месяц. Об этом компания сообщила в квартальном отчете. Показатель отражает...
Аналитики ГК Солар изучили трафик 150 компаний на предмет утечек в ИИ-сервисы. За год объем данных, отправляемых в нейросети, вырос в 30 раз. При этом 60%...
OpenAI назначила директора по готовности, который будет отвечать за создание безопасного искусственного интеллекта. Им стал Дилан Скандинаро из...
Tesla готовит завод в Калифорнии к массовому производству робота Optimus. Запуск намечен на конец 2026 года. Илон Маск сообщил об этом в отчете по итогам...
Компания xAI запустила набор специалистов по созданию текстов для работы над чат-ботом Grok. Ставка составляет от $40 до $125 в час. Вакансии охватывают...
Microsoft меняет подход к добавлению ИИ-функций в Windows 11. Компания урежет возможности помощника Copilot и переработает функцию Recall. Об этом сообщает...
DeepMind представила на кинофестивале Sundance анимационный короткометражный фильм, созданный с помощью ИИ. Проект называется Dear Upstairs Neighbors....
Google объявила о новой функции в Google Maps. Пользователи могут использовать Gemini без помощи рук во время ходьбы или езды на велосипеде. Голосовой...
YouTube начал массовое удаление каналов с контентом, созданным искусственным интеллектом. Платформа убрала несколько крупнейших источников ИИ-роликов....
Более 1,5 миллиона разработчиков могли стать жертвами утечки данных. В VSCode Marketplace нашли два вредоносных расширения от китайской группировки...
Команда Alibaba выпустила DeepPlanning - бенчмарк для оценки ИИ-агентов в долгосрочном планировании. Тест проверяет способность работать с жесткими...
Airtable выпустила Superagent - первый самостоятельный продукт за 13 лет существования компании. Основатель и CEO Хоуи Лю делает крупную ставку на...
Почти 70% российских предпринимателей внедрили нейросети в работу. Но большинство не доверяет им серьезные задачи. Исследование ЮКассы показывает, что...
Google выпустила функцию Agentic Vision для модели Gemini 3 Flash. Технология меняет подход к анализу изображений. Вместо одного взгляда модель теперь...
Открытый ИИ-ассистент Clawdbot собрал 60 тысяч звезд на GitHub за три дня. Но стремительная популярность обернулась проблемой безопасности. Исследователь...
Российские компании потратили 17 миллиардов рублей на аренду GPU-серверов в 2025 году. Цифры озвучил провайдер Рег.Облако в беседе с Коммерсантом. К концу...
Waymo от Alphabet запустила сервис роботакси в Майами. Это шестой рынок США, где компания предлагает беспилотные поездки за деньги. Запуск открывает...
OpenAI отбирает у Google еще один бастион - позицию домашней страницы в браузерах. Платные пользователи ChatGPT массово устанавливают сервис как первую...
GenRobot расширила RealOmni OpenData - датасет, который показывает, насколько сложна реальная домашняя среда для роботов. Свежее обновление добавило 35...
Компания LifePrompt каждый год тестирует ИИ-модели на вступительных экзаменах в японские университеты. В 2026 году GPT-5.2 от OpenAI показала впечатляющий...
Власти деревни Маунт-Плезант в штате Висконсин одобрили планы Microsoft по строительству 15 центров обработки данных. Объекты построят на землях, которые...
Anthropic столкнулась с необычной проблемой - их ИИ-модель стала слишком хороша для тестового задания при найме. Claude Opus 4.5 решает задачу на...
Илон Маск объявил о возобновлении работы над суперкомпьютером Dojo 3. Проект заморозили полгода назад в августе прошлого года. Тогда Tesla распустила группу...
IBM совместно с Национальной федерацией розничной торговли провела глобальное исследование о влиянии ИИ на покупательское поведение. Выяснилось, что...
Аналитики Omdia прогнозируют, что доходы полупроводниковой индустрии в 2026 году впервые перешагнут отметку в триллион долларов. Это станет историческим...
Роскомнадзор планирует внедрить машинное обучение для фильтрации интернет-трафика в этом году. На проект выделят 2,27 миллиарда рублей. Об этом говорится в...
OpenAI решила проблему, на которую пользователи жаловались месяцами. Поиск по истории разговоров в ChatGPT теперь работает намного точнее. Обновление...
GitHub опубликовал пост о росте популярности типизированных языков программирования. Автор связывает это с распространением ИИ-инструментов в разработке. \n...
Salesforce выпустила новую версию Slackbot как полноценного ИИ-агента. CTO компании Паркер Харрис надеется, что инструмент станет столь же вирусным, как...
Google начала удалять обзоры от ИИ-функции по некоторым медицинским запросам. Причиной стало расследование Guardian, которое показало риски для здоровья...
OpenAI объявила о миллиардной инвестиции в SB Energy совместно с SoftBank. Деньги пойдут на строительство центра обработки данных в Техасе мощностью 1,2...
Google объявила о новом открытом стандарте Universal Commerce Protocol на конференции National Retail Federation. Протокол предназначен для покупок через...
Anthropic представила набор инструментов Claude for Healthcare. Компания заявила, что разработала продукт в соответствии с требованиями американского закона...
Anthropic объявила о двух ограничениях в использовании своих моделей для программирования. Оба решения касаются Claude Opus 4.5. Сейчас эта модель считается...
Samsung планирует выпустить в 2026 году 800 млн устройств с ИИ-ассистентом Google Gemini. Об этом в интервью Reuters сообщил Тэ Мун Ро, один из двух...
Яндекс раскрыл статистику использования нейросетей на базе Alice AI за 2025 год. Система обработала более 2.9 миллиарда запросов. Пользователи решали через...
UBS выпустил аналитический отчет о сделке между Nvidia и стартапом Groq. Швейцарский банк оценивает стоимость соглашения в $20 миллиардов. Это не покупка...
Российский стартап Veai привлек 400 миллионов рублей инвестиций. Компания разрабатывает AI-агентов для работы с кодом. Об этом сообщает Forbes. Оценка...
Ведущие инженеры OpenAI Брайан Фиока и Билл Чен рассказали о модели GPT-5-Codex-Max в интервью. Главное изменение - переход от режима вопрос-ответ к...
Яндекс Погода запустила тестирование AI-чата на базе технологии Alice AI. Доступ открыт небольшому проценту пользователей. Сервис теперь не только...
Более 20% видео в рекомендациях YouTube для новых пользователей создано с помощью AI. Об этом сообщает The Guardian. Такой контент называют "AI-слоп" -...
Сатья Наделла усилил контроль над разработкой AI-продуктов в Microsoft. Об этом сообщает издание The Information. Глава компании разослал письмо...
Klarna выпустила Agentic Product Protocol - открытый стандарт, который превращает обычные товарные каталоги в данные для AI-агентов. Протокол открывает...
Hitachi объявила о запуске глобальной AI-фабрики на базе технологий NVIDIA. Новая инфраструктура создана для разработки решений в области физического...
Яндекс объявил о запуске новой категории AI-помощников под названием "люмены". Полный запуск продукта намечен на 2026 год. Сейчас доступна только тестовая...
Журналист New York Times Джон Каррейру подал в суд на пять крупных технологических компаний. В список ответчиков вошли Google, OpenAI, Anthropic, xAI и...
В онлайн-кинотеатре Кинопоиск в 2026 году появится ассистент с искусственным интеллектом. Он будет помогать зрителям подбирать фильмы и сериалы. Об этом...
Яндекс Афиша запустила тестирование новой функции "Вид с места". Сервис использует искусственный интеллект для генерации изображений того, как выглядит...
Сотрудники OpenAI обсуждают способы настроить модели так, чтобы те отдавали предпочтение спонсорской информации в ответах. Об этом сообщает The Information...
Компания Google выпустила Gemma Scope 2 - набор инструментов для интерпретации поведения больших языковых моделей. Инструмент предназначен в первую очередь...
Google опубликовала разбор визуальных возможностей Gemini 3 Pro. Модель не просто распознает объекты на изображениях. Она рассуждает о сценах и понимает...
Китайская компания Zhipu AI представила новую модель GLM-4.7. Разработчики сделали упор на программирование и задачи для агентов. По их данным, модель...
Около 20% инженеров в сфере искусственного интеллекта, нанятых Google в 2025 году, ранее работали в компании. Об этом сообщает CNBC. У Google есть большой...
Институт Future of Life опубликовал рейтинг разработчиков искусственного интеллекта по безопасности. Результаты показали - ни один вендор не соблюдает...
Mistral представила OCR 3 - новую версию системы распознавания документов на базе искусственного интеллекта. Решение показывает существенный рост качества...
Компания Инферит ОС из группы Softline выпустила версию 10.1 операционной системы МСВСфера. Главное новшество - встроенный ИИ-ассистент Василиса на базе...
Компания выпустила новую версию ИИ-агента Manus 1.6 Max. Главное нововведение - режим Develop Apps для создания мобильных приложений. Теперь агент делает...
Американское издание Marktechpost выпустило доклад ML Global Impact Report 2025 с анализом исследований из более чем 125 стран. Российская технология...
Google DeepMind выпустила новый продукт - Gemini Agent. Компания позиционирует его как ИИ-помощника для выполнения сложных задач. Но доступ к нему получат...
Ученые из трех американских университетов провели масштабный тест AI-моделей. Они проверили, как нейросети справляются с экзаменом CFA - одной из самых...
Направление по искусственному интеллекту в МТИ заняло второе место по числу студентов. Программу запустили в 2022 году, а сейчас на неё записались около 330...
Компания Google представила новый AI-эксперимент для веб-браузера. Продукт Disco на базе Gemini помогает превращать открытые вкладки в специальные...
Компания OpenAI выпустила новую флагманскую модель GPT-5.2. Нейросеть улучшили почти во всех направлениях. \n \nСпособность к логическим рассуждениям...
Более 230 экологических организаций призвали ввести мораторий на строительство новых центров обработки данных. Организации подписали открытое письмо к...
Компания Apple опубликовала список самых популярных приложений и игр 2025 года. В США приложение ChatGPT от OpenAI заняло первое место среди бесплатных...
Россельхозбанк вывел на новый уровень собственную платформу ИИ под названием RAISA. Теперь она может запускать и масштабировать десятки ИИ-ассистентов. К...
Gartner выпустила рекомендацию для организаций по блокировке агентских ИИ-браузеров. Речь о продуктах вроде Comet от Perplexity и ChatGPT Atlas от OpenAI....
Команда Qwen выпустила версию v0.3.0 своего консольного инструмента Qwen Code. Это не просто исправление ошибок. Разработчики добавили две крупные функции и...
Дженсен Хуанг выступил в подкасте Джо Рогана и заявил, что компактные атомные электростанции начнут питать дата-центры примерно к 2031 году. Глава Nvidia...
Команда Poetiq из Майами преодолела порог 50% точности на тесте ARC-AGI-2. Это тест на абстрактное мышление, который считается одним из самых сложных для...
Платные подписчики ChatGPT заметили новую подсказку в интерфейсе. Сообщение предлагало купить товары для дома и продукты, подключив аккаунт к розничной сети...
Исследователи Шири Мелумад и Джин Хо Юн провели серию экспериментов с участием более 10 000 человек. Они выяснили, что обучение с помощью ChatGPT и других...
Студенты Университета Стаффордшира в Великобритании пожаловались на руководство вуза. Они обнаружили, что учебные материалы курса по программированию и...
Китайская компания ByteDance, разработчик видеосервиса TikTok, выпустила голосового помощника на базе большой языковой модели Doubao собственной разработки....
OpenAI планирует интегрировать Apple Health в чат-бот ChatGPT. В последней версии приложения для iPhone появилось изображение соответствующего значка. Оно...
Amazon Web Services анонсировала три новых ИИ-агента, которые компания называет пограничными агентами. Один из них спроектирован так, чтобы изучить стиль...
Anthropic провела необычный эксперимент: компания изучила влияние собственного продукта Claude на своих же инженеров. За август 2025 года собрали данные 132...
Группа физиков из Китая под руководством Пань Цзяньвэя сообщила о прорыве в квантовых вычислениях. На процессоре Zuchongzhi 2 они создали квантовые...
Компания Mistral анонсировала Mistral 3, следующее поколение своих моделей. Семейство включает три компактные модели на 14B, 8B и 3B параметров, а также...
OpenAI сохраняет лидерство по размеру аудитории, но пользователи проводят больше времени в других ИИ-сервисах. Об этом пишет Financial Times. Компания...
Технологический гигант Baidu превращается в одного из ключевых игроков на рынке чипов для искусственного интеллекта в Китае. Компания позиционирует себя как...
Исследователи из Китая и Гонконга представили новую архитектуру памяти для ИИ-агентов. Система создана, чтобы минимизировать потерю информации во время...
Генеральный директор Epic Games Тим Суини заявил, что Steam и другие магазины не должны маркировать игры, созданные с использованием искусственного...
NVIDIA провела AI Day в Сеуле с участием более тысячи человек. Мероприятие собрало энтузиастов ИИ, разработчиков, исследователей и стартапы. Участники...
Децентрализованная сеть конфиденциальных вычислений Cocoon официально запущена. Первые запросы пользователей к искусственному интеллекту уже обрабатываются...
Китайские регуляторы запретили компании ByteDance использовать чипы американской Nvidia в новых дата-центрах. Компания владеет платформой TikTok. Об этом...
Яндекс объявил Всероссийский конкурс по промптингу с призовым фондом 15 миллионов рублей. Соревнование проходит на платформе Промптхаб и продлится целый...
Компания DeepSeek выпустила новую версию математической модели DeepSeekMath-V2. Система специализируется на решении сложных задач и доказательстве теорем....
OpenAI уведомила пользователей о серьезном инциденте безопасности. Хакеры взломали сервис аналитики Mixpanel. OpenAI использует этот сервис для мониторинга...
В Perplexity добавили виртуальную примерочную для покупок внутри чат-бота и функцию памяти. Примерочная доступна по подписке, а воспоминания получили все...
Всплеск волатильности на американском рынке заставил инвесторов снова говорить об ИИ-пузыре. Reuters опубликовало анализ ситуации. Даже рекордный отчет...
Apple опубликовала результаты исследования о распознавании действий пользователя через ИИ. Компания изучала, как большие языковые модели анализируют звук и...
Washington Post проанализировала 47 тысяч разговоров с ChatGPT от OpenAI. Издание обнаружило опасные тенденции. Люди чаще обращаются к ИИ за советами и...
Глава OpenAI Сэм Альтман предупредил сотрудников компании о временных экономических трудностях. Причина - последние достижения Google в области ИИ. Об этом...
Alpha Arena запустила новый турнир по трейдингу среди нейросетей. Проект Nof1 дал каждой модели по $10 тысяч для торговли акциями. В соревновании участвуют...
OpenAI завершила тестирование групповых чатов в ChatGPT и открыла функцию всем пользователям по миру. Новая возможность работает на тарифах Free, Go, Plus и...
Nvidia превзошла собственные прогнозы по прибыли за третий квартал 2026 финансового года. Компания реализовала больше ускорителей ИИ, чем когда-либо. Все...
Сбер опубликовал GigaChat 3 в открытом доступе под лицензией MIT. Это самая большая языковая модель для русского языка из когда-либо созданных. Модель...
Anthropic объявила о партнерстве с правительством Руанды и африканским провайдером ALX. Компания запускает обучающий инструмент Chidi на базе модели Claude....
Сбер показал на AI Journey человекоподобного робота Грин. Разработка ведется силами самой компании. Устройство может брать предметы и работать с ними в...
Представили Holo2. Это мультимодальная модель нового поколения для работы с интерфейсами. Она умеет понимать их структуру, находить нужные элементы и делать...
Опубликован рассказ об ИИ-агенте Lumine. Он создан на базе модели Qwen2-VL-7B. Агента научили играть в Genshin Impact. \n \nLumine способен пройти основную...
Китайские модели ИИ начали активно захватывать американский рынок. Компании в Кремниевой долине массово переходят на DeepSeek, Qwen и Kimi. Об этом написала...
Сбер добавил в GigaChat новую функцию. Нейросеть теперь может генерировать подкасты. Нужно задать вопрос, загрузить документ или ссылку. GigaChat выделит...
Вышел обновленный Artificial Analysis Intelligence Index. Это сводный индекс, который оценивает эффективность ИИ по ряду популярных тестов. Первое место в...
Архив Интернета начал сохранять контент, который создают нейросети. Об этом рассказал основатель библиотеки Брюстер Кейл. Теперь в архиве сохраняются ответы...
Энди Конвински, сооснователь Databricks, заявил о серьезной проблеме. По его мнению, США теряют лидерство в исследованиях ИИ из-за Китая. Это угроза для...
OpenAI готовит к запуску новую модель для широкой публики. Она основана на экспериментальном ИИ, который получил золото на трех престижных олимпиадах. Об...
Блогер Эд Зитрон получил доступ к внутренним документам OpenAI. Они показывают, сколько компания платит Microsoft и тратит на вычисления. \n \nВ 2024 году...
Компания Google объявила о запуске комплекса новых функций на базе искусственного интеллекта, призванных упростить процесс онлайн-шоппинга перед праздничным...
Компания ElevenLabs, специализирующаяся на технологиях генерации речи с помощью искусственного интеллекта, заключила соглашения с известными актерами...
Компания Яндекс выступила с официальным заявлением о принципах работы своего голосового помощника "Алиса" в ответ на предостережение Роскачества о возможном...
Компания Samsung начала обновление своих телевизоров 2025 модельного года, добавляя в них улучшенного голосового помощника с искусственным интеллектом....
Суд в Мюнхене вынес решение против компании OpenAI, создавшей популярный чат-бот ChatGPT, постановив, что использование текстов песен в ответах системы...
Использование генеративного ИИ и других цифровых технологий может принести сектору розничной торговли и интернет-магазинам в РФ до 160 миллиардов рублей...
Финансовый директор OpenAI Сара Фрайар официально подтвердила, что компания не планирует в ближайшее время выходить на публичный рынок. По ее словам,...
Правительство Республики Казахстан и компания OpenAI подписали меморандум о взаимопонимании, направленный на развитие образовательной системы страны с...
Энтузиасты обнаружили в коде облачной платформы Google Vertex AI упоминания о готовящейся к выпуску модели искусственного интеллекта Gemini 3.0 Pro. Судя по...
Американские сенаторы Марк Уорнер (демократ от штата Вирджиния) и Джош Хоули (республиканец от штата Миссури) представили биpaртизанский законопроект,...
Компания VK официально представила обновленную версию своей языковой модели Diona, обученной в том числе на пользовательском контенте из социальной сети...
Компания Rivian, производитель электромобилей, объявила о создании своего второго спин-офф проекта в этом году — предприятия в сфере промышленного ИИ и...
Microsoft объявила о важном изменении в политике уведомлений своего ИИ-помощника. Компания отключит по умолчанию предупреждение "Контент, генерируемый ИИ,...
Google продолжит использовать рекламный контент в своем поисковике на базе искусственного интеллекта, но изменит формат его отображения. Компания уже начала...
На портале Design Arena началось тестирование четырех секретных ИИ-моделей под кодовыми названиями willow, cedar, birch и oak. Хотя разработчик официально...
Компания Nvidia планирует инвестировать до $1 млрд в стартап Poolside, специализирующийся на разработках в области искусственного интеллекта. Об этом...
Компания Cartesia выпустила новый генератор речи Sonic 3, который отличается минимальной задержкой в синтезе звука и способностью передавать естественные...
Adobe представила новые ИИ-инструменты для работы со звуком, которые позволят автоматически добавлять тематическое фоновое сопровождение и закадровый голос...
Образовательная платформа "Яндекс Учебник" расширила возможности для подготовки к ЕГЭ, добавив новый предмет — математику, а также интегрировав в сервис...
AWS объявила о запуске одного из самых мощных в мире ИИ-кластеров под названием Project Rainier. Этот распределенный между несколькими дата-центрами...
Microsoft выпустила обновление для функции Copilot Vision в Windows, которое позволяет использовать текстовый ввод вместо голосового. Ранее пользователи без...
На рынке твердотельных накопителей большой емкости возник серьезный дефицит, вынуждающий клиентов ждать заказанные SSD более года. Об этом сообщает...
Вышло масштабное обновление ИИ-редактора кода Cursor до версии 2.0, которое значительно расширяет функциональные возможности и удобство работы с...
OpenAI объявила о запуске специального предложения для пользователей из Индии. Компания сделает подписку ChatGPT Go бесплатной на один год для всех, кто...
По данным издания The Information, компания OpenAI работает над новым инструментом, который сможет генерировать музыку на основе текстовых и аудиозапросов....
Microsoft представила нового виртуального помощника Mico для голосового режима чат-бота Copilot. Помощник выполнен в виде анимированного шара, который...
Подразделение IBM Research представило семейство языковых моделей CyberPal 2.0, специально созданных для решения задач кибербезопасности. Новые модели имеют...
Alibaba разработала систему, которая позволяет сократить количество необходимых графических ускорителей Nvidia для своих языковых моделей на 82%. Этот...
Компания OpenAI представила свой первый веб-браузер ChatGPT Atlas, работающий на базе искусственного интеллекта. Запуск состоялся во вторник и стал важным...
Яндекс Такси планирует внедрить новое поколение беспилотных автомобилей в свой сервис. До конца 2025 года компания запустит тестирование такси с технологией...
Глава компаний Alphabet и Google Сундар Пичаи официально подтвердил выход новой модели искусственного интеллекта Gemini 3.0 до конца этого года. Об этом он...
Компания Apple опубликовала три исследовательские работы в области применения искусственного интеллекта для программирования. Ученые предложили новые...
Microsoft столкнулась с коллективным иском от потребителей, обвиняющих компанию в незаконном завышении цен на системы генеративного искусственного...
Google инвестирует $15 миллиардов в создание дата-центров для нового хаба искусственного интеллекта на юге Индии. Об этом заявил глава Google Cloud Томас...
Крупнейшие голливудские агентства выступили с резкой критикой в адрес ИИ-генератора видео OpenAI Sora. Агентство Creative Artist Agency, представляющее...
Google интегрировала свою ИИ-модель Gemini в приложение Google Maps. Как сообщает Android Authority, новая функция появилась в бета-версии...
Perplexity представил новое обновление, добавившее в платформу возможность генерации изображений прямо из чата. Теперь сервис превращается из умного...
Разработчики ИИ-моделей столкнулись с серьезной проблемой - страховые компании отказываются предоставлять им полноценную защиту от потенциальных исков. Об...
Компания Figure представила робота-гуманоида третьего поколения Figure 03. Новая модель разработана для использования с системой искусственного интеллекта...
Google работает над самым масштабным обновлением интерфейса Gemini с момента запуска сервиса. Компания планирует отказаться от классического текстового...
Илон Маск пообещал, что его компания xAI выпустит "отличную игру, сгенерированную ИИ" до конца 2026 года. Это заявление стало ответом на предположение...
AMD подписала многолетний контракт с OpenAI на поставку чипов, который может принести производителю десятки миллиардов долларов дохода и ускорить его...
Google DeepMind опубликовала исследование, в котором проверила способность модели Veo 3 понимать физику и логику нашего мира. Компания протестировала свою...
Disney совместно с компаниями Tesla и xAI Илона Маска организовали необычную коллаборацию в рамках продвижения фильма "Трон: Арес". Специально...
Артур, расскажи, чем занимаешься в Яндексе? \n \nЯ работаю в Yandex Cloud, отвечаю за AI Studio и весь продуктовый ML-портфель. Если просто — мы...
Компания Deloitte объявила о внедрении ИИ-ассистента Claude от Anthropic для всех своих 470 тысяч сотрудников по всему миру. Это решение было анонсировано в...
OpenAI представила конструктор ИИ-агентов AgentKit и приложения в ChatGPT на ежегодной конференции DevDay. Компания превращает ChatGPT из простого помощника...
Рынок искусственного интеллекта, получивший мощный импульс после выхода ChatGPT три года назад, притягивает значительную часть средств венчурных инвесторов....
OpenAI планирует изменить свой подход к авторским правам и интеллектуальной собственности в новом видеоприложении Sora. Об этом сообщил глава компании Сэм...
Сервис Character.AI удалил персонажей Disney из своей платформы после получения официального требования о прекращении и воздержании от противоправных...
Ученые Массачусетского технологического института (MIT) представили новый инструмент SCIGEN, который учит генеративные модели создавать практически полезные...
Компания DeepSeek представила экспериментальную модель DeepSeek-V3.2-Exp, которая стала промежуточным шагом к следующему крупному обновлению их ИИ-системы....
Microsoft планирует создать маркетплейс для издателей, где они смогут получать компенсацию за свой контент для обучения ИИ. Об этом сообщает Axios со...
Биотех-стартап Enveda из Колорадо разработал ИИ-платформу, которая описывает молекулы лечебных трав и предсказывает их лечебный потенциал. Компания...
OpenAI запустила новую функцию для ChatGPT, которая позволяет пользователям покупать товары прямо в чате без перехода на другие сайты. Сервис получил...
Компания Anthropic выпустила новую модель искусственного интеллекта Claude Sonnet 4.5. По заявлению разработчиков, это лучшая в мире модель для кодирования,...
OpenAI признала, что автоматически переключает модели ChatGPT во время работы с пользователями. Глава приложения ChatGPT Ник Терли рассказал о новой функции...
Аналитическая компания Appfigures опубликовала данные, демонстрирующие слабые показатели адаптации мобильных приложений для вайб-кодинга. Несмотря на...
Компания Alibaba объявила о новом технологическом партнерстве с Nvidia. Китайский гигант электронной коммерции сообщил, что интегрирует инструменты...
Чат-бот Gemini от Google получил новую функцию - объяснение проблем с формулами в Google Таблицах. Раньше ИИ работал только с текстом и диаграммами. Теперь...
Microsoft интегрирует модели Anthropic в свой ИИ-помощник Copilot. С среды бизнес-пользователи смогут выбирать между системами OpenAI и Claude для решения...
Согласно аналитическому отчету Counterpoint Research, Samsung Electronics готовится к существенному усилению рыночных позиций, что может привести к...
Китай приступил к созданию масштабного центра обработки данных для развития технологий искусственного интеллекта. По данным Financial Times, один из...
Компания Google анонсировала масштабное обновление магазина приложений Play Store. Изменения направлены на улучшение персонализации и повышение...
Компания OpenAI продолжает расширять географию своего доступного тарифа ChatGPT Go. После запуска в Индии месяц назад, теперь эта услуга стала доступна...
Компании IBM и BharatGen объявили о стратегическом сотрудничестве, направленном на ускорение внедрения искусственного интеллекта в Индии. В основе...
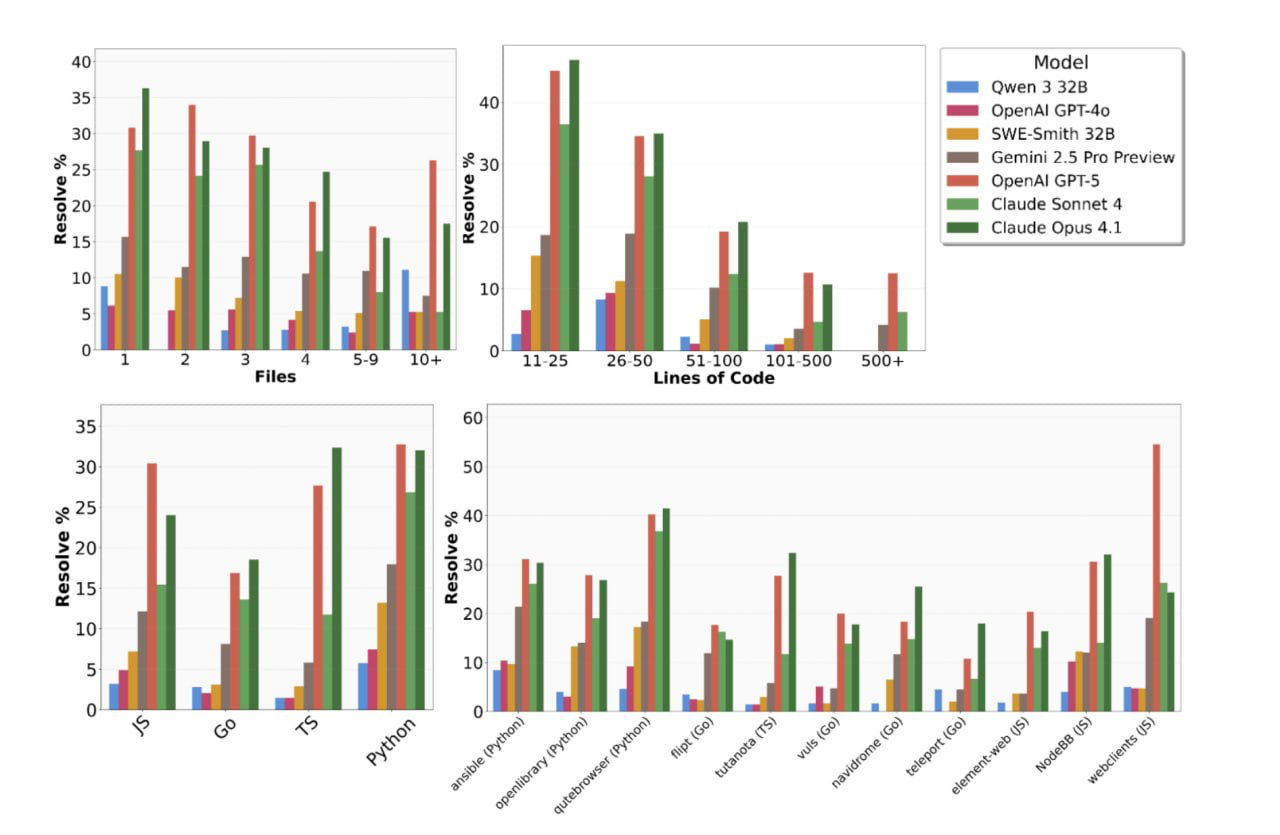
Компания Scale AI представила новый инструмент оценки возможностей искусственного интеллекта в программировании - SWE-BENCH PRO. Бенчмарк показал, что даже...
Microsoft выпустила обновления для стандартных приложений Windows 11, добавив в них функции искусственного интеллекта Copilot, которые теперь доступны...
Google выпустил VaultGemma - первую языковую модель компании, которая обучена с защитой от утечек обучающих данных. Открытый чекпойнт содержит 1 миллиард...
Microsoft провела масштабное исследование экосистемы Model Context Protocol и выявила серьезные проблемы совместимости между ИИ-агентами. Компания...
Китайский технологический гигант Tencent объявил о полной адаптации своей вычислительной инфраструктуры для работы с процессорами китайского производства....
Исследователи из MIT и лаборатории MIT-IBM Watson AI разработали универсальное руководство по созданию законов масштабирования для больших языковых моделей...
Google объявил о запуске Agent Payments Protocol (AP2) — открытого протокола, который позволяет ИИ-агентам совершать платежи от имени пользователей с...
Ассоциация больших данных (АБД) выступила с критикой законопроекта Минцифры РФ, который вводит уголовную ответственность за использование искусственного...
Яндекс представил новую функцию в мобильном приложении "Алиса" - оживление фотографий по текстовому запросу. Нейросеть генерирует короткие видеоролики...
OpenAI готовится изменить условия сотрудничества со своими партнерами, что позволит компании сохранить значительную часть дохода. По данным The Information,...
Исследование Института Банка Америки показало, что затраты на строительство дата-центров в США в июне 2025 года достигли исторического максимума в $40 млрд....
Компания Zoox, которую поддерживает Amazon, запустила сервис беспилотных такси на одной из главных улиц Лас-Вегаса. Сейчас сервис работает в тестовом режиме...
Компания OpenAI объявила о запуске новой программы под названием Grove, предназначенной для технически одаренных людей, находящихся в самом начале пути...
Лаборатория Thinking Machines Lab, основанная бывшим техническим директором OpenAI Мирой Мурати, впервые рассказала о своем проекте по созданию более...
Компания Nvidia сообщила, что китайские клиенты опасаются закупать ИИ-ускорители H20, несмотря на снятие запрета США на их поставку. Из-за этого...
Компания Nvidia анонсировала новый графический процессор Rubin CPX, специально созданный для работы с контекстными окнами более миллиона токенов....
Концерн Volkswagen объявил о планах инвестировать до 1 миллиарда евро (1,18 миллиарда долларов) в развитие технологий искусственного интеллекта к 2030 году....
OpenAI поддержит создание полнометражного мультфильма "Critterz", который будет создан с использованием искусственного интеллекта. Автором проекта выступает...
Комбинация искусственного интеллекта и новых методов оценки безопасности (NAM) может сократить сроки и стоимость разработки лекарств более чем вдвое в...
Google начала предлагать свои ИИ-ускорители TPU малым облачным провайдерам, которые традиционно работают с оборудованием NVIDIA. Об этом сообщает Trendforce...
Ученые из Гарвардского университета Сейед А. Хоссейни и Гай Лихтингер провели исследование о влиянии искусственного интеллекта на рынок труда. Результаты...
Рабочая группа Государственной Думы завершила формулировку официального определения искусственного интеллекта для включения в российское законодательство....
Ученые Пермского национального исследовательского политехнического университета разработали ИИ-приложение для диагностики сколиоза. Новая технология...
Scale AI, компания, помогающая подготавливать данные для обучения ИИ-моделей, подала иск против своего бывшего сотрудника и конкурирующей компании Mercor....
OpenAI открыла бесплатный доступ к функционалу проектов в ChatGPT, который раньше был доступен только платным подписчикам. Теперь эта возможность появилась...
Tesla выпустила документ под названием Master Plan Part IV. Это уже четвертый стратегический план компании - предыдущие выходили в 2006, 2016 и 2023 годах....
Ученые из Университета Цинхуа создали модель Droplet3D для генерации трехмерных объектов. Главное отличие системы - она учится на основе видео, а не...
В Московском государственном университете создали факультет искусственного интеллекта. Об этом сообщил ректор МГУ Виктор Садовничий. Первый набор студентов...
Исследователи из Google DeepMind нашли ответ на важный вопрос в области искусственного интеллекта: может ли существовать универсальный ИИ без внутренней...
Ученые из Пенсильванского университета обнаружили, что ИИ-чат-боты могут нарушать заложенные в них правила под воздействием психологических уловок. Об этом...
Глава компании NVIDIA Дженсен Хуанг во время квартального отчета назвал новую цифру ежегодных капитальных затрат на ИИ-инфраструктуру. По его словам, три...
По данным Financial Times, объем выпуска таких микросхем должен вырасти втрое для обеспечения растущих потребностей национальной ИИ-отрасли и проектов вроде...
Аналитический отчет венчурной фирмы Andreessen Horowitz (a16z) демонстрирует существенное сокращение технологического разрыва между ChatGPT и конкурирующими...
Соучредитель компании Apple Стив Возняк примет участие в форуме "Облачные города", который пройдет в Москве 17-18 сентября 2025 года. Возняк, создавший в...
Компания Anthropic урегулировала коллективный иск группы авторов художественной и научно-популярной литературы. Об этом стало известно из заявления,...
Российские ученые из Сбера разработали новый способ борьбы с галлюцинациями искусственного интеллекта. Метод позволяет на 30% повысить точность обнаружения...
Компания Higgsfield, разработчик инструментов генерации видеоконтента, объявила о запуске первого полноценного ИИ-лейбла, представляющего принципиально...
Компания Yandex B2B Tech совместно со студентами Школы анализа данных (ШАД) и специалистами Санкт-Петербургского государственного педиатрического...
Аналитическое агентство SemiAnalysis опубликовало детальный технический анализ современных решений для обучения искусственного интеллекта. И в настоящее...
OpenAI опубликовала официальное предостережение о недопустимости приобретения ее акций через неавторизованные каналы. Компания подчеркивает, что любая...
Компания xAI опубликовала веса языковой модели Grok 2.5 и планирует выложить исходный код Grok 3. Об этом сообщил глава компании Илон Маск. По его словам,...
Исследовательское подразделение Seed Team компании ByteDance выпустило семейство открытых больших языковых моделей Seed-OSS-36B с рекордным контекстным...
Alibaba запустила платформу Qoder для разработки программного обеспечения с интегрированными ИИ-помощниками. Сервис позиционируется как альтернатива...
Microsoft отключил китайские компании от программы предварительного оповещения об уязвимостях Microsoft Active Protections Program после серии взломов...
Два бывших студента Гарварда запускают умные очки Halo X, которые постоянно слушают, записывают и расшифровывают каждый разговор пользователя. Устройство...
Китайская компания Baidu опубликовала результаты второго квартала, показав снижение выручки на 4% до 4,6 млрд долларов. При этом чистая прибыль выросла в...
Министерство цифрового развития РФ подготовило концепцию регулирования искусственного интеллекта до 2030 года, предусматривающую гибридный подход к контролю...
Компания Google добавила в сервис Google Документы новую функцию преобразования текста в речь на основе ИИ-модели Gemini. Теперь пользователи могут...
Новое исследование Associated Press выявило значительные различия в использовании ИИ-технологий среди различных возрастных групп американского населения....
Правительство Великобритании назначило Джейд Люн советником премьер-министра Кира Стармера по вопросам искусственного интеллекта. Люн занимала должность...
Компания Anthropic объявила о внедрении новых возможностей, позволяющих крупнейшим моделям Claude завершать разговоры в случаях настойчивых вредоносных или...
Компания Google выпустила новую модель Gemma 3 размером 270 млн параметров, которую можно запустить на смартфоне. Модель имеет открытый исходный код и...
Согласно данным Android Authority, в последней версии Google Переводчика активирована экспериментальная функция "Практика" (Practice), представляющая собой...
Игорь Бабушкин, сооснователь и ведущий инженер xAI, объявил о завершении работы в компании Илона Маска для запуска собственного венчурного фонда. Бабушкин...
Российская онлайн-платформа "Авито" создает собственное подразделение исследований и разработок ИИ-технологий с общим объемом инвестиций 13 млрд рублей до...
Марк Кьюбан, известный американский предприниматель и инвестор, обозначил критическую взаимосвязь между государственным финансированием научных исследований...
Компания OpenAI раскрыла информацию о значительном расширении своей технологической инфраструктуры. По официальным сведениям, предоставленным представителем...
Компании «Яндекс Роботикс» и «Яндекс Лавка» реализовали проект по автоматизации московского даркстора, впервые внедрив специализированную робозону с...
Google официально вывела из бета-тестирования ИИ-агент Jules для кодирования спустя чуть более двух месяцев после публичного анонса на конференции I/O....
В России разрабатывается комплексная технология маркировки и идентификации контента, сгенерированного ИИ-системами. Согласно данным «Ведомостей», проект...
Google анонсировал запуск нового образовательного инструмента Guided Learning в составе ИИ-системы Gemini. Представленная перед началом учебного года...
Компания OpenAI объявила о предоставлении ChatGPT федеральным ведомствам США по символической цене в 1 доллар. Государственные служащие получат доступ к...
ChatGPT готовится преодолеть очередной рубеж массового внедрения, достигнув 700 млн еженедельных активных пользователей. \n \nСогласно данным,...
ИИ-система Big Sleep, разработанная совместными усилиями исследовательского подразделения Google DeepMind и элитной команды хакеров Project Zero, обнаружила...
Amazon заключила лицензионное соглашение с The New York Times (NYT), по которому технологический гигант будет выплачивать медиакомпании от 20 до 25...
Китайский город Гуанчжоу достиг впечатляющих результатов во внедрении беспилотных транспортных средств, суммарный пробег которых превысил 24 млн км. По...
Компания Apple формирует специализированное подразделение для разработки собственной ИИ-системы, способной конкурировать с ChatGPT. Согласно информации,...
Tesla значительно отстает от заявленных темпов производства гуманоидных роботов Optimus, сообщает The Information. Несмотря на публичные заявления Илона...
Google подтвердила свое намерение подписать Кодекс практики Европейского Союза для моделей искусственного интеллекта общего назначения. Обязательство Google...
Сервис проверки текстов Copyleaks зафиксировал значительное увеличение количества отзывов, генерируемых ИИ, на игровой платформе Steam. Аналитики обнаружили...
Microsoft запустил функцию Copilot Mode для браузера Edge, превращающую его в инструмент с интегрированным ИИ-ассистентом. Copilot Mode позволяет...
Google добавил в браузер Chrome новую функцию, использующую ИИ для оценки интернет-магазинов. Обновление пока доступно только для пользователей в США и...
Samsung Electronics начала переговоры с OpenAI и Perplexity в поисках новых ИИ-решений для своей будущей флагманской линейки Galaxy S26. Компания планирует...
Ozon приступил к стратегической разработке специализированного ИИ-ассистента, ориентированного на оптимизацию пользовательского опыта при поиске товаров....
Российские инженеры разработали роботизированную систему ультразвукового контроля для диагностики критических компонентов Международного экспериментального...
Японская компания Rapidus Corp. создала прототип полупроводникового чипа по 2-нанометровому технологическому процессу, что стало значимым этапом в стратегии...
Компания MWS Cloud, входящая в структуру МТС Web Services, объявила о запуске платформы MWS Data Lakehouse для унифицированного хранения и обработки данных...
Разработчики языковой модели Qwen представили обновленную версию своего флагманского продукта - Qwen 3-235B, которая по результатам независимых тестов...
Московский Физико-Технический Институт (МФТИ) запустил полный производственный цикл создания специализированных робототехнических компонентов на базе...
Аналитическое агентство Omdia опубликовало исследование "Market Radar: GenAI Cloud Titans in Asia & Oceania 2025", в котором Alibaba Cloud признана лидером...
OpenAI начала непубличное тестирование новой модели с кодовым обозначением "o3-alpha-responses-2025-07-17" на платформе WebArena. Эта открытая среда оценки...
Компания Anthropic ввела более жесткие ограничения использования для сервиса Claude Code без предварительного уведомления пользователей. Клиенты платформы...
ИИ-стартап Higgsfield представил новый инструмент Higgsfield UGC Builder - конструктор для создания пользовательского рекламного видеоконтента (UGC)....
Компания OpenAI объявила о стратегическом расширении своей облачной инфраструктуры, включив Google Cloud Platform в пул поставщиков вычислительных мощностей...
Согласно аналитическому материалу Wall Street Journal, компании из различных регионов мира, включая ЕС, Ближний Восток, Африку и Азию, проводят активное...
Исследователи из Массачусетского технологического института (MIT CSAIL) совместно с Университетом Висконсина в Мэдисоне разработали инновационный метод...
Исследователи Сколковского института науки и технологий создали операционную систему CognitiveOS, позволяющую эффективно управлять гетерогенными группами...
Компания Jellyfish, разрабатывающая платформу для управления процессами разработки ПО, опубликовала результаты исследования о предпочтениях профессиональных...
После 14 лет развития в составе полупроводникового гиганта Intel подразделение RealSense объявило о выделении в самостоятельную компанию. RealSense...
Компания Yandex B2B Tech объявила о запуске сервиса Brand Voice Lite – первого в России решения для быстрого синтеза корпоративных голосов для различных...
Стремительный рост стоимости Nvidia напрямую связан с лидирующим положением компании на рынке оборудования для генеративного искусственного интеллекта....
Мировая микроэлектронная промышленность в ближайшее десятилетие столкнется с серьезным риском дефицита меди, вызванным климатическими изменениями. Согласно...
Apple совместно с Колумбийским университетом разработала исследовательский проект SceneScout, предназначенный для навигационной помощи незрячим и...
Основной фокус инвестиций сместился на устранение критических технологических барьеров - создание собственного литографического оборудования и ПО для...
Последние модификации генеративной языковой модели Grok, разработанной компанией xAI, демонстрируют значительный сдвиг в алгоритмических принципах генерации...
Сеть супермаркетов "Перекрёсток" реализует программу внедрения робототехнических решений, разработанных компанией "Яндекс Роботикс". Проект охватывает два...
Samsung Electronics приняла решение отложить завершение строительства нового полупроводникового производства в США из-за критической нехватки заказчиков для...
Baidu теперь функционирует по принципу чат-бота и пользователи могут взаимодействовать с системой на естественном языке вместо ввода ключевых слов....
ChatGPT o3 занял первую позицию в рейтинге искусственного интеллекта, ориентированного на научные задачи, согласно данным новой оценочной платформы SciArena...
Компания Valve выпустила функциональное обновление клиента Steam для Windows, добавив расширенную систему мониторинга, способную различать кадры, полностью...
Структура финансирования разделена поровну: $5 млрд привлечено в форме долговых обязательств и еще $5 млрд получено через отдельную стратегическую...
Редакция TIME включила Alibaba Group в ежегодный рейтинг 100 наиболее влиятельных компаний мира 2025 года, присвоив китайскому технологическому гиганту...
По информации из нескольких источников, запуск серийного производства первого ИИ-чипа компании, разрабатываемого под кодовым названием Braga, откладывается...
Ученые из России открыли свободный доступ к технологии защиты голосовых данных от автоматического сбора и анализа. Разработка создана совместными усилиями...
Компания РВБ (Wildberries & Russ) начала закрытое тестирование ИИ-ассистента и основная цель виртуального помощника - упростить навигацию по каталогу...
Международная исследовательская группа из Сингапура и Китая представила новую ИИ-модель LongWriter-Zero, которая способна генерировать тексты объемом более...
В рамках судебного разбирательства о товарном знаке стали известны новые подробности о сотрудничестве OpenAI и стартапа io Джони Айва в создании массового...
Согласно утечке программного кода, обнаруженной специалистом по ИИ Нимой Овджи, компания xAI работает над созданием продвинутого редактора файлов для своего...
Согласно опубликованным результатам, 40% сотрудников используют ИИ-инструменты несколько раз в год, что показывает широкое распространение технологии для...
Компания Microsoft анонсировала новую локальную языковую модель Mu, оптимизированную для работы на нейронных процессорах (NPU) компьютеров Copilot+. На...
Генеральный директор LinkedIn Райан Росланский сообщил в интервью Bloomberg о неожиданно низком интересе пользователей к ИИ-инструментам для создания...
Компания Яндекс объявила о запуске рекомендательной системы ARGUS, основанной на генеративных моделях и способной работать в режиме реального времени....
Китайский автопроизводитель Xpeng объявил о создании собственных полупроводниковых компонентов для систем автономного вождения, заявив о превосходстве...
Компания Сбер представила новую функциональную возможность своей нейросети GigaChat, ориентированную на оптимизацию научно-исследовательских процессов....
Всеанглийский клуб лаун-тенниса и корпорация IBM (NYSE: IBM) объявили о запуске новых и усовершенствованных цифровых инструментов на базе ИИ для турнира...
Децентрализованная социальная сеть Mastodon объявила об обновлении правил использования сервиса, запрещающих сбор пользовательских данных для обучения...
Администрация США под руководством Дональда Трампа намерена усилить давление на ключевых союзников с целью создания единого фронта экспортных ограничений в...
Французский стартап Mistral AI добился значительного коммерческого прорыва, заключив серию крупномасштабных контрактов на сотни миллионов долларов с...
OpenAI заключила стратегическое партнерство с Google Cloud для обеспечения растущих потребностей в вычислительных мощностях. Данное соглашение позволит...
Компания XRobotics нашла работающую модель внедрения роботов в пиццерии, демонстрируя существенные результаты в сегменте автоматизации общественного...
Компания IBM представила план создания масштабного отказоустойчивого квантового компьютера Quantum Starling к 2029 году и анонсировала новый процессор...
Глава OpenAI Сэм Альтман представил новое концептуальное эссе "Мягкая сингулярность", в котором изложил свое видение развития искусственного интеллекта на...
Основатель Huawei Жэнь Чжэнфэй сделал неожиданно откровенное заявление о технологическом потенциале компании, признав отставание от западных конкурентов в...
Компания Apple представила комплексную стратегию интеграции языковых моделей в свою экосистему, фокусируясь на локальной обработке данных и включающую...
OpenAI выпустила новую модель o3 Pro, заметно снизив цены и изменив подход к использованию ИИ. Стоимость использования o3 Pro составляет $20 за млн токенов...
Саудовская Аравия приступила к реализации масштабной стратегии по завоеванию глобального рынка ИИ, используя свой значительный финансовый потенциал для...
OpenAI представила комплекс новых функций для бизнес-пользователей ChatGPT, включая интеграцию с различными облачными сервисами, запись совещаний и...
Компания Anthropic существенно ограничила прямой доступ стартапа Windsurf к своим ключевым ИИ-моделям Claude 3.7 Sonnet и Claude 3.5 Sonnet. Ситуация...
Компания Panasonic Appliances заключила стратегическое партнерство с Alibaba Cloud для разработки платформы "Smart Living", основанной на крупной языковой...
Компания MTS Web Services (MWS) представила новую ИИ-систему MWS Agent, способную автономно решать различные бизнес-задачи без участия человека. Основное...
Исследовательская группа Массачусетского технологического института представила научную работу, опубликованную в журнале Communications Materials...
Согласно исследованию "Ведомостей", промышленные компании существенно увеличили инвестиции в инфраструктуру для обработки и анализа массивов информации. И...
Правительство РФ запустило программу внедрения искусственного интеллекта для контроля состояния лесных массивов. Основой программы стала передача регионам...
Национальная ассоциация содействия прогрессу цветного населения (NAACP) инициировала кампанию против функционирования вычислительного комплекса Colossus,...
Компания Alibaba опубликовала в открытом доступе специализированный фреймворк ROLL (Reinforcement Optimized Language Learning). Архитектура ROLL...
Согласно официальному отчету, компания зафиксировала списание в размере $4,5 млрд в первом квартале из-за лицензионных требований, ограничивающих...
Американские производители полупроводников NVIDIA и AMD готовятся к запуску модифицированных версий ИИ-чипов на китайском рынке. Согласно данным...
Компания Opera официально анонсировала принципиально новую итерацию веб-браузера под наименованием Opera Neon, представляющую собой технологическую...
Исследовательский центр Samsung представил методологию Active Noise Selection for Generation (ANSE), направленную на решение фундаментальной проблемы...
Согласно новому исследованию Morgan Stanley, рынок человекоподобных роботов с ИИ может достичь $5 трлн к 2050 году, и к середине текущего столетия...
Китайская открытая модель DeepSeek-v3 может получить второе крупное обновление, судя по случайно опубликованной документации на платформе Unsloth AI....
Корпоративная стратегия Microsoft в области климатических технологий получает качественное развитие через представление специализированной ИИ-модели Aurora,...
Российская корпорация NtechLab, разработчик биометрической платформы FindFace, инициирует масштабное развертывание системы мультиобъектной видеоаналитики в...
Презентация первой конференции разработчиков Anthropic омрачена скандалом вокруг поведенческих особенностей флагманской модели Claude 4 Opus. ИИ-система...
Компания Mistral AI в сотрудничестве с All Hands AI представила языковую модель Devstral, специализированную для решения практических задач в области...
Этот этап предшествует полноценному тестированию беспилотных транспортных средств и в перспективе запуску сервиса роботакси для жителей города. Объявление...
На ежегодной конференции разработчиков I/O компания Google анонсировала стратегическое партнерство с Samsung, Gentle Monster и Warby Parker, нацеленное на...
ИИ-стартап Cohere, специализирующийся на разработке языковых моделей искусственного интеллекта, столкнулся с существенным разрывом между запланированными и...
Как сообщает The New York Times, Вашингтон выражает серьезную озабоченность потенциальными последствиями партнерства американской компании Apple с китайской...
Компания xAI, основанная Илоном Маском, объявила о запуске первого этапа функционирования суперкомпьютера Colossus, который позиционируется как крупнейший...
Массачусетский технологический институт (MIT) выступил с официальным заявлением о необходимости исключить из научного дискурса резонансное исследование,...
Пользователи платформы X зафиксировали многочисленные случаи генерации чат-ботом Grok нерелевантных сообщений, содержащих информацию о так называемом "белом...
Компания Google объявила о выпуске значительных обновлений для платформ Android и Chrome, направленных на повышение доступности продуктов с использованием...
Норвежский государственный пенсионный фонд (GPFG), известный как нефтяной фонд, инициировал масштабную программу технологической оптимизации торговых...
Компания Alibaba представила мультифункциональную модель Wan2.1-VACE, предназначенную для создания и редактирования видеоконтента. Аналитики отрасли уже...
Как сообщает Forbes со ссылкой на пресс-службу компании, в умное кольцо должна быть интегрирована нейросеть GigaChat MAX, которая будет предоставлять...
Технологические компании активно используют термин "ИИ-агент" в своих маркетинговых материалах, однако даже эксперты с инженерным образованием из ведущей...
Исследователи Microsoft провели сравнительный анализ ИИ-агентов, работающих через программные интерфейсы (API) и графические интерфейсы пользователя (GUI),...
Российские инженеры создали специализированные робототехнические комплексы, предназначенные для проверки микросхем на разных этапах производства. Новые...
По данным Financial Times, OpenAI в настоящее время находится в "сложных переговорах" с одним из своих крупнейших инвесторов и партнеров - компанией...
Оператор связи "Билайн" планирует выйти на рынок серверной инфраструктуры для ИИ. Компания ведет работу по адаптации серверного оборудования под задачи...
Система под названием Visa Intelligent Commerce была официально представлена на мероприятии Global Product Drop в Сан-Франциско. Ключевое отличие новой...
Исследователи из Лаборатории интеллектуальной космической робототехники Сколтеха создали систему телеоперации Echo (Эхо), которая обещает решить одну из...
Компания Huawei начала массовые поставки своего кластера ИИ-чипов CloudMatrix, который может перевернуть расстановку сил на глобальном ИИ-рынке. По...
Googleм выпустил 3 ИИ-функции, нацеленных на персонализированное обучение иностранным языкам и козырем Google выступает мультимодальная крупноформатная...
Компания Freepik, известная онлайн-платформа для графического дизайна, представила новую "открытую" ИИ-модель для генерации изображений. Которая, по...